Los Estudiantes
Universidad de los Andes
Busca un profesor, materia o programa en Universidad de los Andes...
Log in
MATE1214 - Cálculo Integral Con Ecuaciones Diferenciales
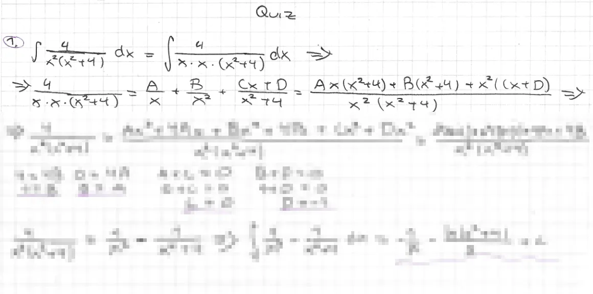
Quiz - C_Integral-2.pdf
Reportar
Quiz 1
1 página
PDF
Quiz - C_Integral-2.pdf
Prof:
Seyed Seyedfakhari
VISTA PREVIA
1
¿Te fue útil este archivo?
0
Útil
No útil
Comentarios
Inicia sesión para ver los comentarios de este archivo.
Iniciar sesión
Ver todos los archivos de esta materia
Accede al archivo completo