Los Estudiantes
Universidad de los Andes
Busca un profesor, materia o programa en Universidad de los Andes...
Log in
FISI2405 - Mecanica
solucionparcial1.pdf
Reportar
Parcial 1
2 páginas
PDF
solucionparcial1.pdf
Prof:
Ferney Javier Rodriguez Duenas
VISTA PREVIA
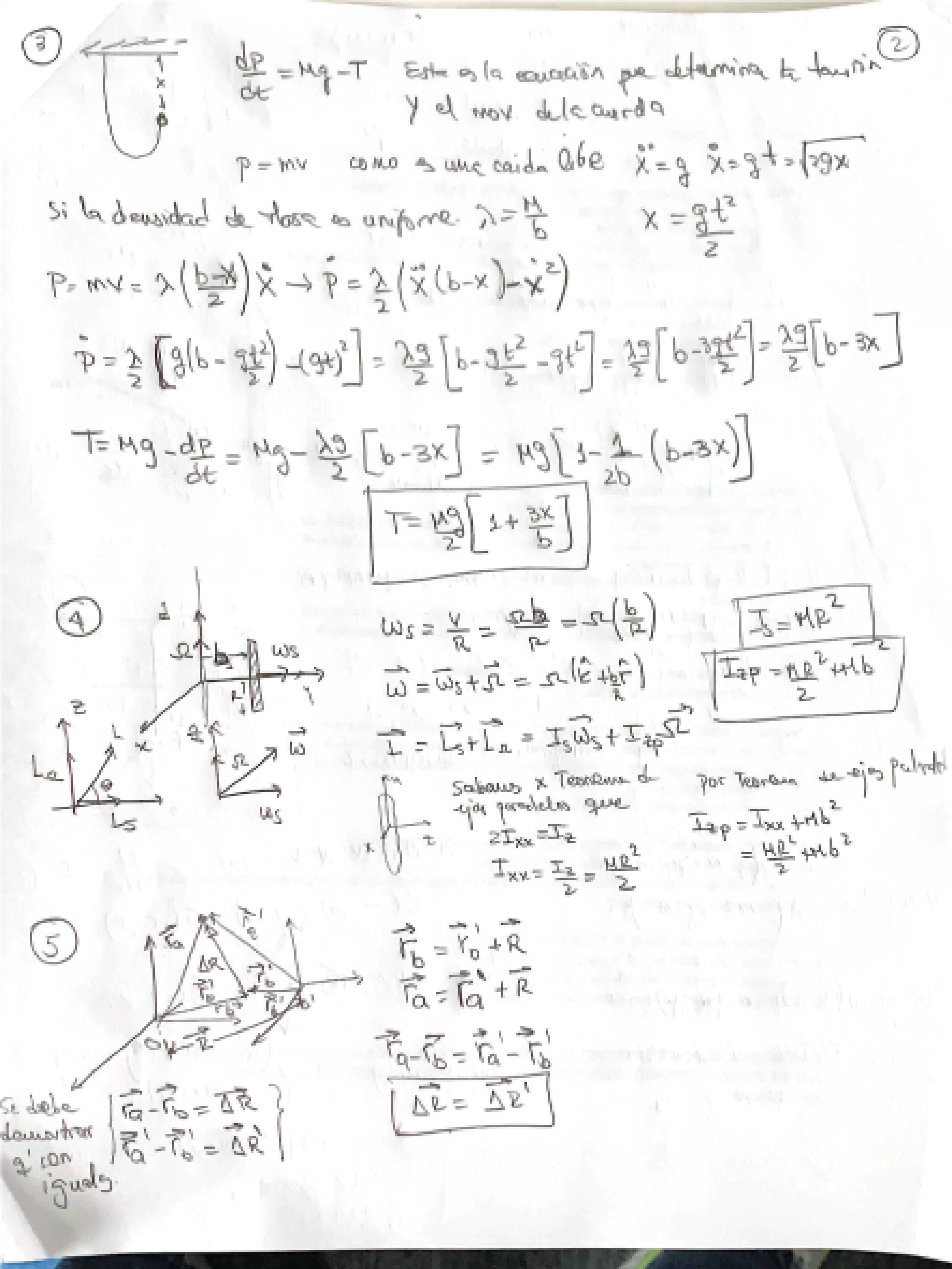
1
VISTA PREVIA
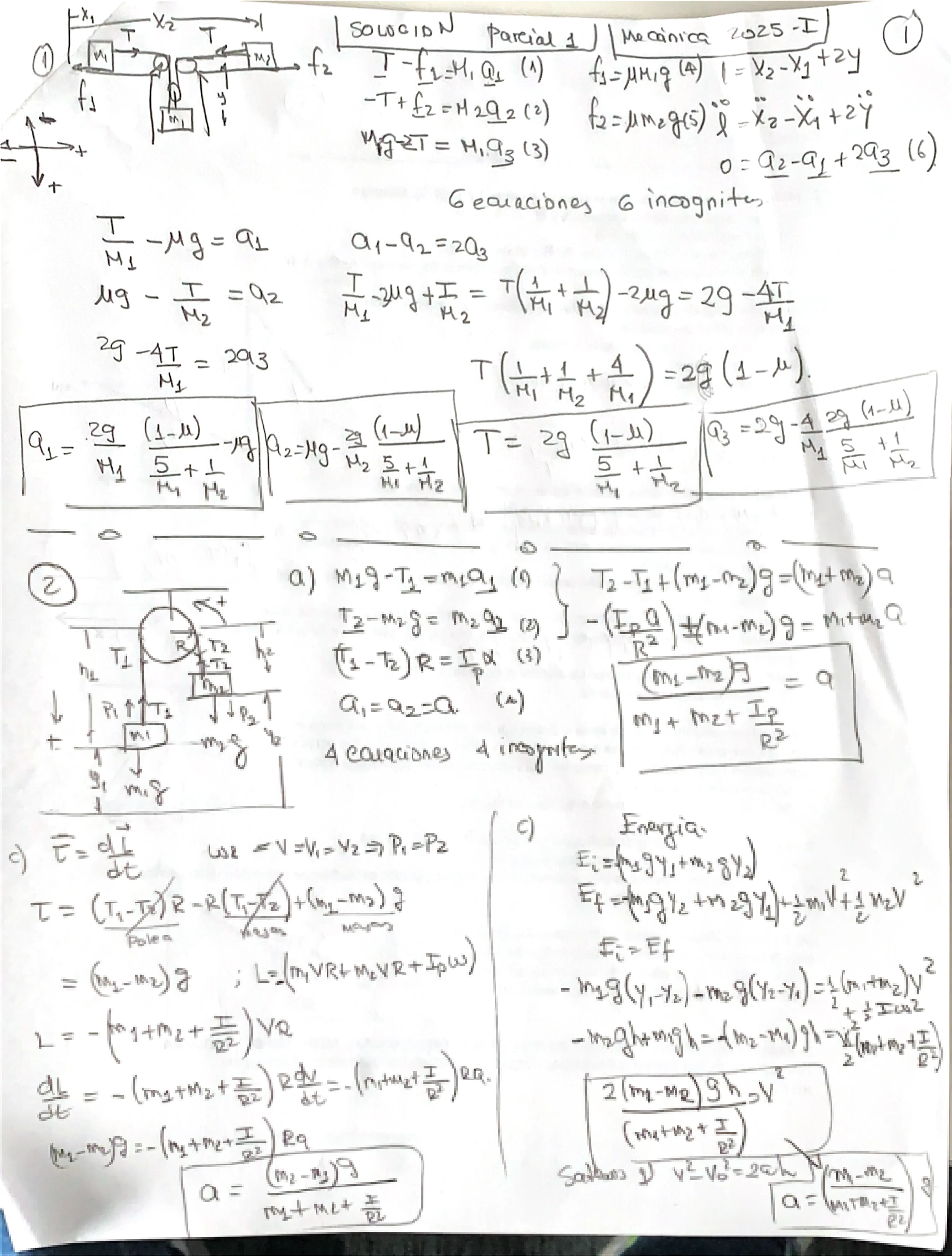
2
¿Te fue útil este archivo?
0
Útil
No útil
Comentarios
Inicia sesión para ver los comentarios de este archivo.
Iniciar sesión
Ver todos los archivos de esta materia
Accede al archivo completo