Los Estudiantes
Universidad Nacional de Colombia
Busca un profesor, materia o programa en Universidad Nacional de Colombia...
Log in
2027877 - Probabilidad Fundamental
PYEF_G16_oct13 (2).pdf
Reportar
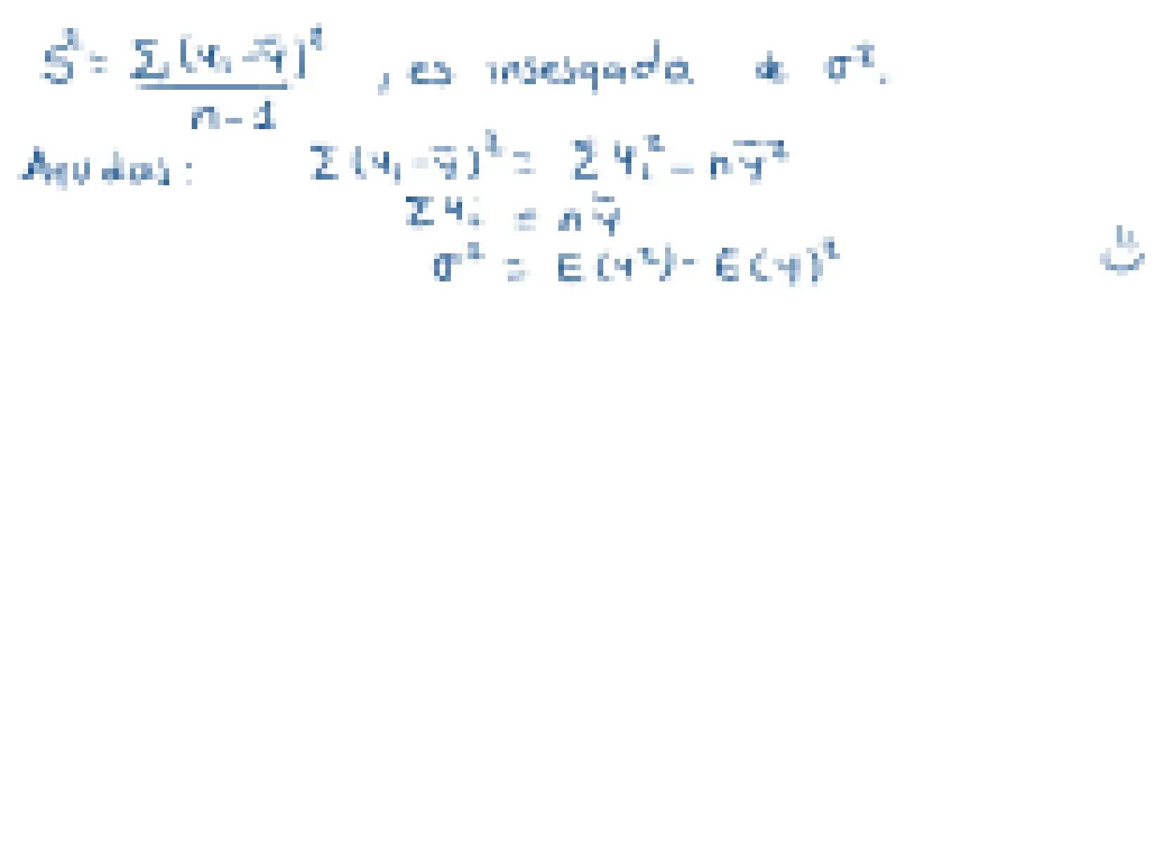
Ejercicio 3
10 páginas
PDF
PYEF_G16_oct13 (2).pdf
Prof:
Gabriel Esteban Gonzalez Rodriguez
VISTA PREVIA
1
VISTA PREVIA
2
VISTA PREVIA
3
VISTA PREVIA
4
VISTA PREVIA
5
VISTA PREVIA
6
VISTA PREVIA
7
VISTA PREVIA
8
VISTA PREVIA
9
VISTA PREVIA
10
¿Te fue útil este archivo?
-1
Útil
No útil
Comentarios
Inicia sesión para ver los comentarios de este archivo.
Iniciar sesión
Ver todos los archivos de esta materia
Accede al archivo completo