Los Estudiantes
Universidad Nacional de Colombia
Busca un profesor, materia o programa en Universidad Nacional de Colombia...
Log in
2017287 - Sensores Y Actuadores
Tarea 04 SYA.pdf
Reportar
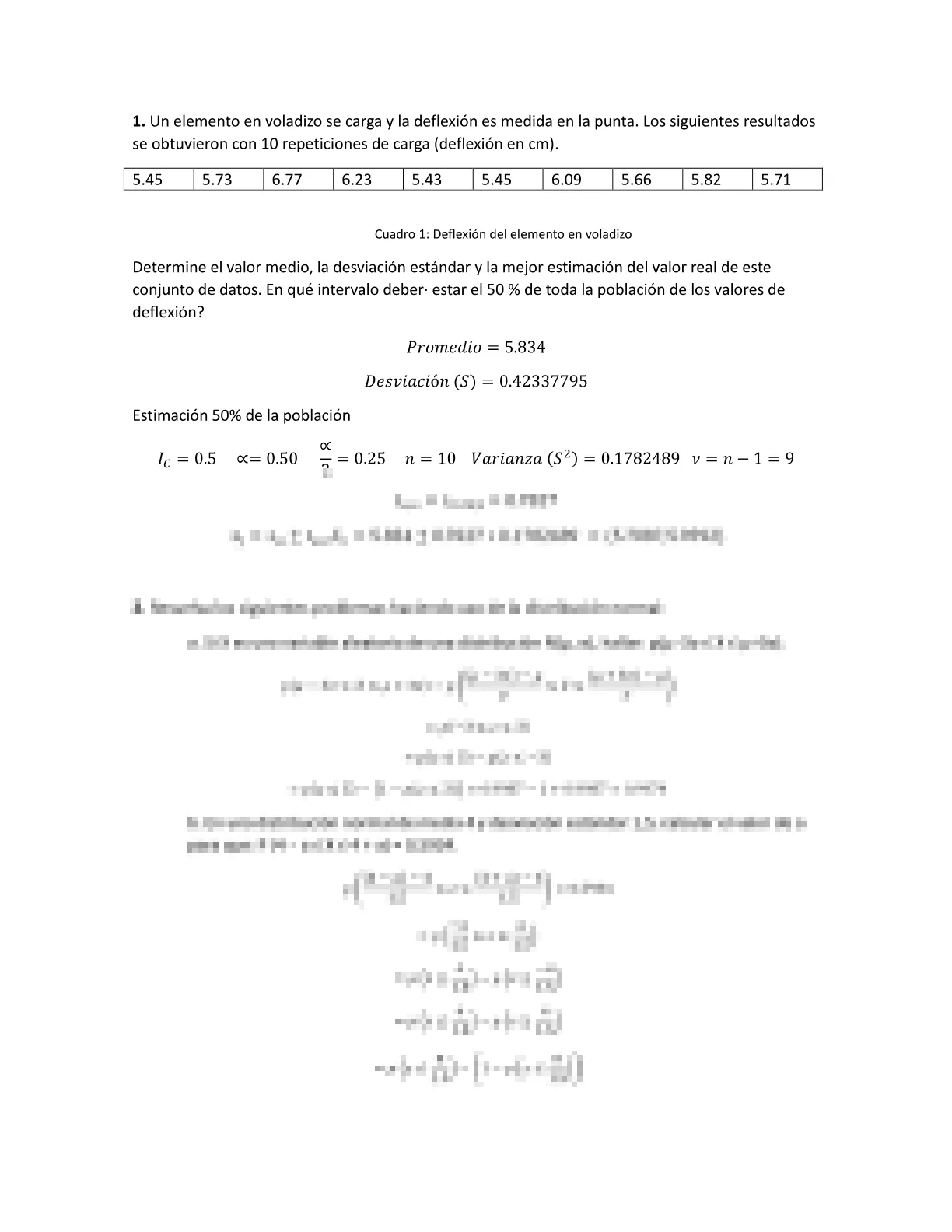
Tarea 4
7 páginas
PDF
Tarea 04 SYA.pdf
Prof:
Luis Miguel Mendez Moreno
VISTA PREVIA
1
VISTA PREVIA
2
VISTA PREVIA
3
VISTA PREVIA
4
VISTA PREVIA
5
VISTA PREVIA
6
VISTA PREVIA
7
¿Te fue útil este archivo?
0
Útil
No útil
Comentarios
Inicia sesión para ver los comentarios de este archivo.
Iniciar sesión
Ver todos los archivos de esta materia
Accede al archivo completo