Los Estudiantes
Universidad Nacional de Colombia
Busca un profesor, materia o programa en Universidad Nacional de Colombia...
Log in
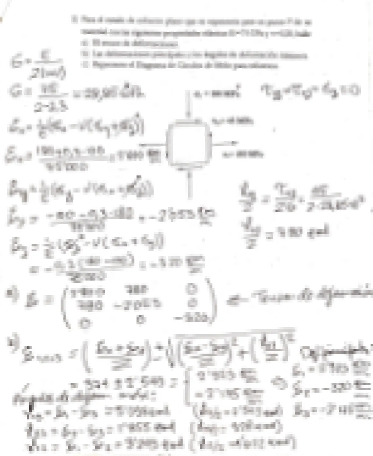
2017277 - Resistencia De Materiales
Solución Parcial#1 RM_I2025.pdf
Reportar
Parcial 1
5 páginas
PDF
Solución Parcial#1 RM_I2025.pdf
Prof:
Nelson Arzola De La Peña
VISTA PREVIA
1
VISTA PREVIA
2
VISTA PREVIA
3
VISTA PREVIA
4
VISTA PREVIA
5
¿Te fue útil este archivo?
0
Útil
No útil
Comentarios
Inicia sesión para ver los comentarios de este archivo.
Iniciar sesión
Ver todos los archivos de esta materia
Accede al archivo completo