Los Estudiantes
Universidad Nacional de Colombia
Busca un profesor, materia o programa en Universidad Nacional de Colombia...
Log in
2017271 - Principios De Dinamica
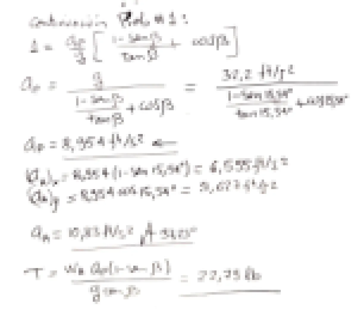
Solución Parcial1_G3_DIN_I2025.pdf
Reportar
Parcial 1
5 páginas
PDF
Solución Parcial1_G3_DIN_I2025.pdf
Prof:
Nelson Arzola De La Peña
VISTA PREVIA
1
VISTA PREVIA
2
VISTA PREVIA
3
VISTA PREVIA
4
VISTA PREVIA
5
¿Te fue útil este archivo?
+1
Útil
No útil
Comentarios
Inicia sesión para ver los comentarios de este archivo.
Iniciar sesión
Ver todos los archivos de esta materia
Accede al archivo completo