Los Estudiantes
Universidad Nacional de Colombia
Busca un profesor, materia o programa en Universidad Nacional de Colombia...
Log in
2017263 - Fundamentos De Turbomaquinaria
Primera Evaluación - Luis Esteban Marin Pasive.pdf
Reportar
Parcial 1
5 páginas
PDF
Primera Evaluación - Luis Esteban Marin Pasive.pdf
VISTA PREVIA
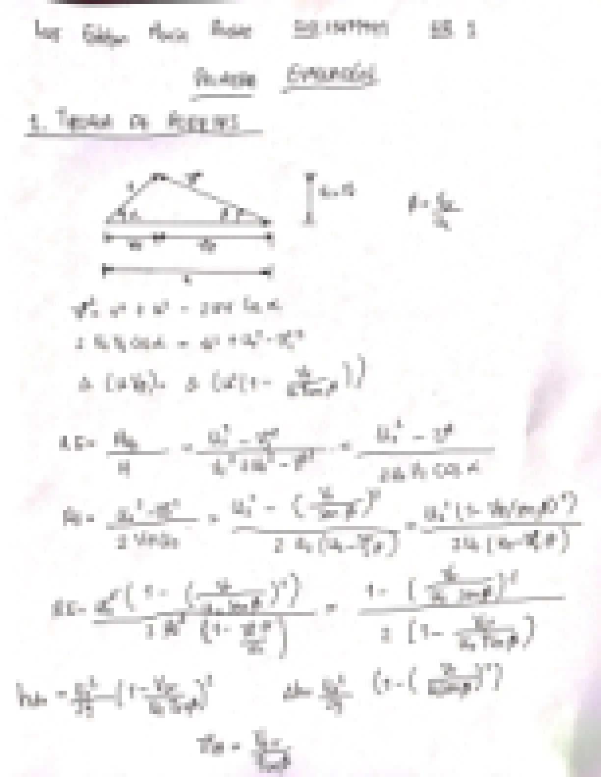
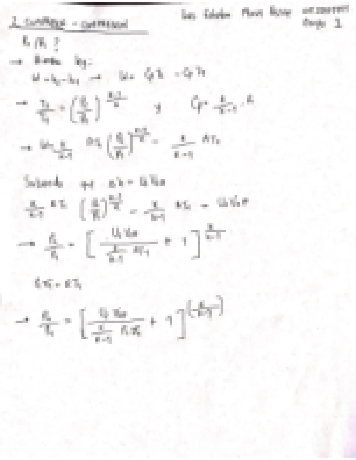
1
VISTA PREVIA
2
VISTA PREVIA
3
VISTA PREVIA
4
VISTA PREVIA
5
¿Te fue útil este archivo?
0
Útil
No útil
Comentarios
Inicia sesión para ver los comentarios de este archivo.
Iniciar sesión
Ver todos los archivos de esta materia
Accede al archivo completo