Los Estudiantes
Universidad Nacional de Colombia
Busca un profesor, materia o programa en Universidad Nacional de Colombia...
Log in
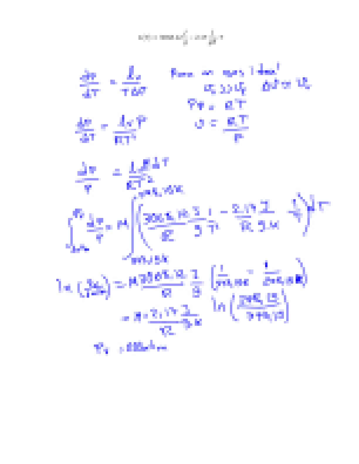
2016691 - Termodinamica-Modulo De Teoria
Examen III Termodinámica solución
Reportar
Examen
4 páginas
PDF
Examen III Termodinámica solución
Prof:
Shirley Gomez Paez
VISTA PREVIA
1
VISTA PREVIA
2
VISTA PREVIA
3
VISTA PREVIA
4
¿Te fue útil este archivo?
0
Útil
No útil
Comentarios
Inicia sesión para ver los comentarios de este archivo.
Iniciar sesión
Ver todos los archivos de esta materia
Accede al archivo completo