Los Estudiantes
Universidad Nacional de Colombia
Busca un profesor, materia o programa en Universidad Nacional de Colombia...
Log in
2016688 - Mecanica Cuantica Ii
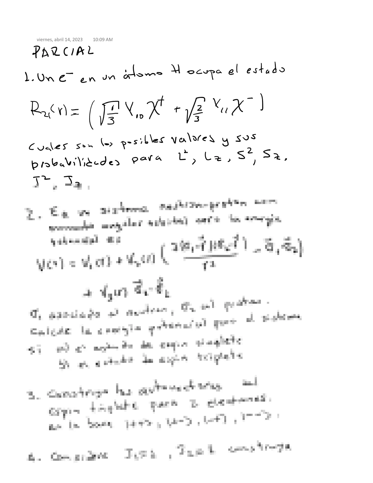
parcial1preguntas.pdf
Reportar
Parcial 1
2 páginas
PDF
parcial1preguntas.pdf
Prof:
Jairo Alexis Rodriguez Lopez
VISTA PREVIA
1
VISTA PREVIA
2
¿Te fue útil este archivo?
0
Útil
No útil
Comentarios
Inicia sesión para ver los comentarios de este archivo.
Iniciar sesión
Ver todos los archivos de esta materia
Accede al archivo completo