Los Estudiantes
Universidad Nacional de Colombia
Busca un profesor, materia o programa en Universidad Nacional de Colombia...
Log in
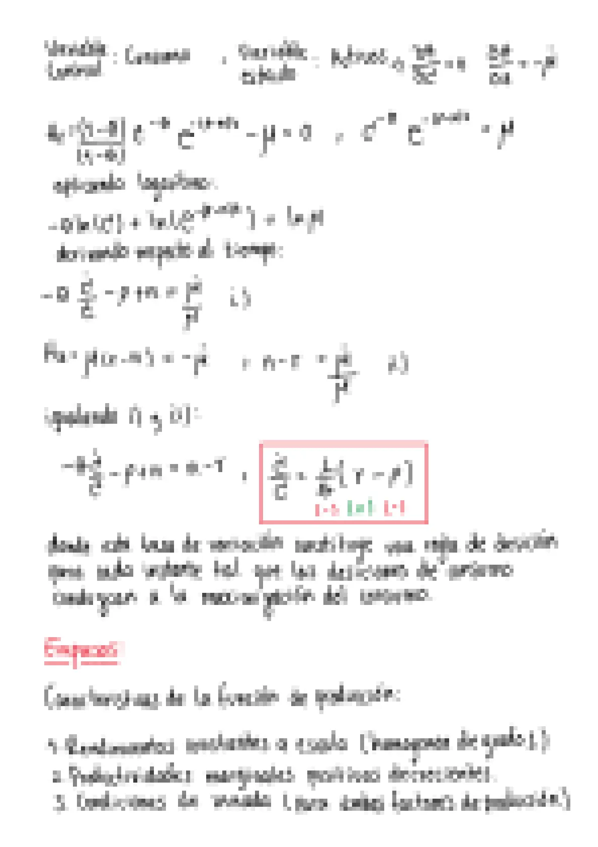
2016014 - Macroeconomia Iii
Notas Modelo Ramsey.pdf
Reportar
Apunte
5 páginas
PDF
Notas Modelo Ramsey.pdf
Prof:
Carlos Alberto Ruiz Martinez
VISTA PREVIA
1
VISTA PREVIA
2
VISTA PREVIA
3
VISTA PREVIA
4
VISTA PREVIA
5
¿Te fue útil este archivo?
0
Útil
No útil
Comentarios
Inicia sesión para ver los comentarios de este archivo.
Iniciar sesión
Ver todos los archivos de esta materia
Accede al archivo completo