Los Estudiantes
Universidad Nacional de Colombia
Busca un profesor, materia o programa en Universidad Nacional de Colombia...
Log in
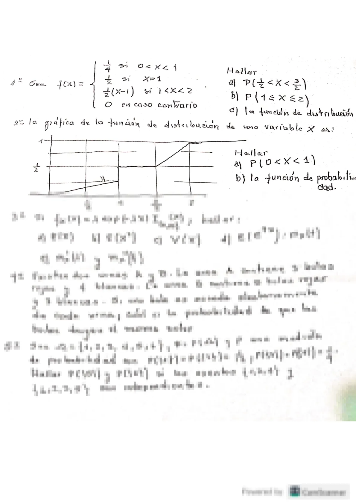
2015178 - Probabilidad
Parciales de probabilidad.pdf
Reportar
Parcial
3 páginas
PDF
Parciales de probabilidad.pdf
Prof:
Edilberto Cepeda Cuervo
VISTA PREVIA
1
VISTA PREVIA
2
VISTA PREVIA
3
¿Te fue útil este archivo?
+1
Útil
No útil
Comentarios
Inicia sesión para ver los comentarios de este archivo.
Iniciar sesión
Ver todos los archivos de esta materia
Accede al archivo completo