Los Estudiantes
Universidad Nacional de Colombia
Busca un profesor, materia o programa en Universidad Nacional de Colombia...
Log in
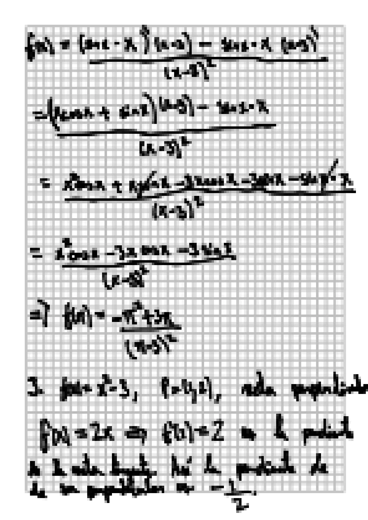
1000004 - Calculo Diferencial
16novCorreccion Parcial.pdf
Reportar
Parcial 2
5 páginas
PDF
16novCorreccion Parcial.pdf
Prof:
Leonardo Arturo Cano
VISTA PREVIA
1
VISTA PREVIA
2
VISTA PREVIA
3
VISTA PREVIA
4
VISTA PREVIA
5
¿Te fue útil este archivo?
+5
Útil
No útil
Comentarios
Inicia sesión para ver los comentarios de este archivo.
Iniciar sesión
Ver todos los archivos de esta materia
Accede al archivo completo