Los Estudiantes
Universidad Nacional de Colombia
Busca un profesor, materia o programa en Universidad Nacional de Colombia...
Log in
1000003 - Algebra Lineal
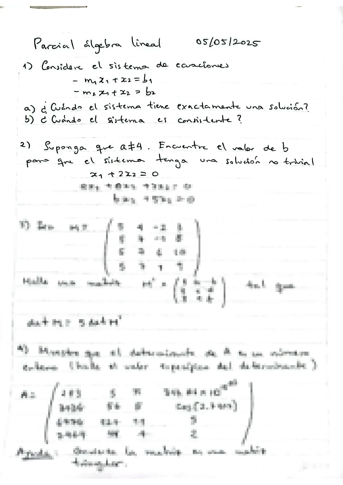
Parcial 1. Álgebra lineal .pdf
Reportar
Parcial 1
1 página
PDF
Parcial 1. Álgebra lineal .pdf
Prof:
Jhon Alexander Cruz Morales
VISTA PREVIA
1
¿Te fue útil este archivo?
0
Útil
No útil
Comentarios
Inicia sesión para ver los comentarios de este archivo.
Iniciar sesión
Ver todos los archivos de esta materia
Accede al archivo completo