Los Estudiantes
Universidad Nacional de Colombia
Busca un profesor, materia o programa en Universidad Nacional de Colombia...
Log in
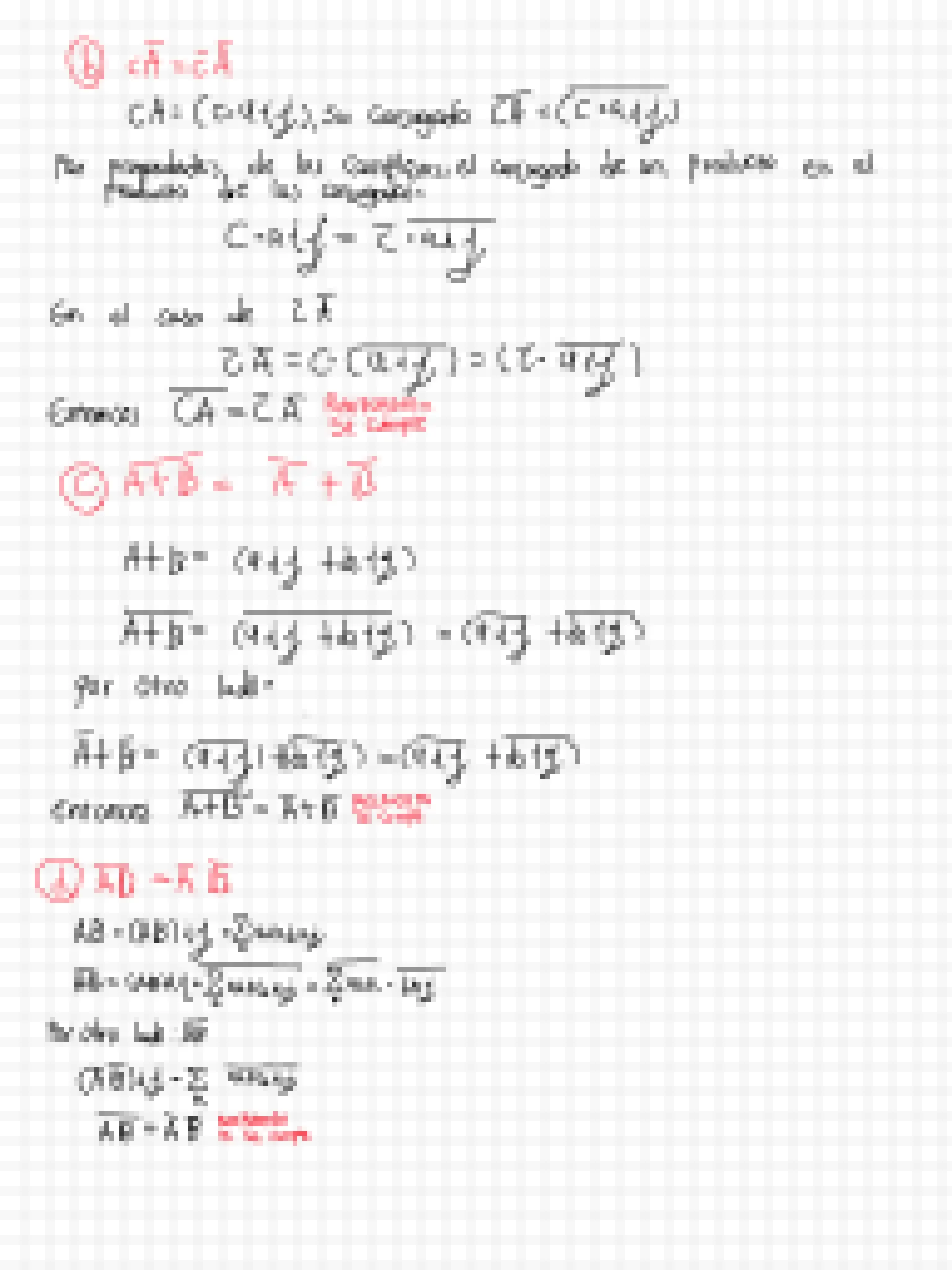
1000003 - Algebra Lineal
parcial1 algebra.pdf
Reportar
Parcial 1
6 páginas
PDF
parcial1 algebra.pdf
Prof:
Jhon Cristian Mina Ladino
VISTA PREVIA
1
VISTA PREVIA
2
VISTA PREVIA
3
VISTA PREVIA
4
VISTA PREVIA
5
VISTA PREVIA
6
¿Te fue útil este archivo?
+1
Útil
No útil
Comentarios
Inicia sesión para ver los comentarios de este archivo.
Iniciar sesión
Ver todos los archivos de esta materia
Accede al archivo completo