Los Estudiantes
Universidad de los Andes
Busca un profesor, materia o programa en Universidad de los Andes...
Log in
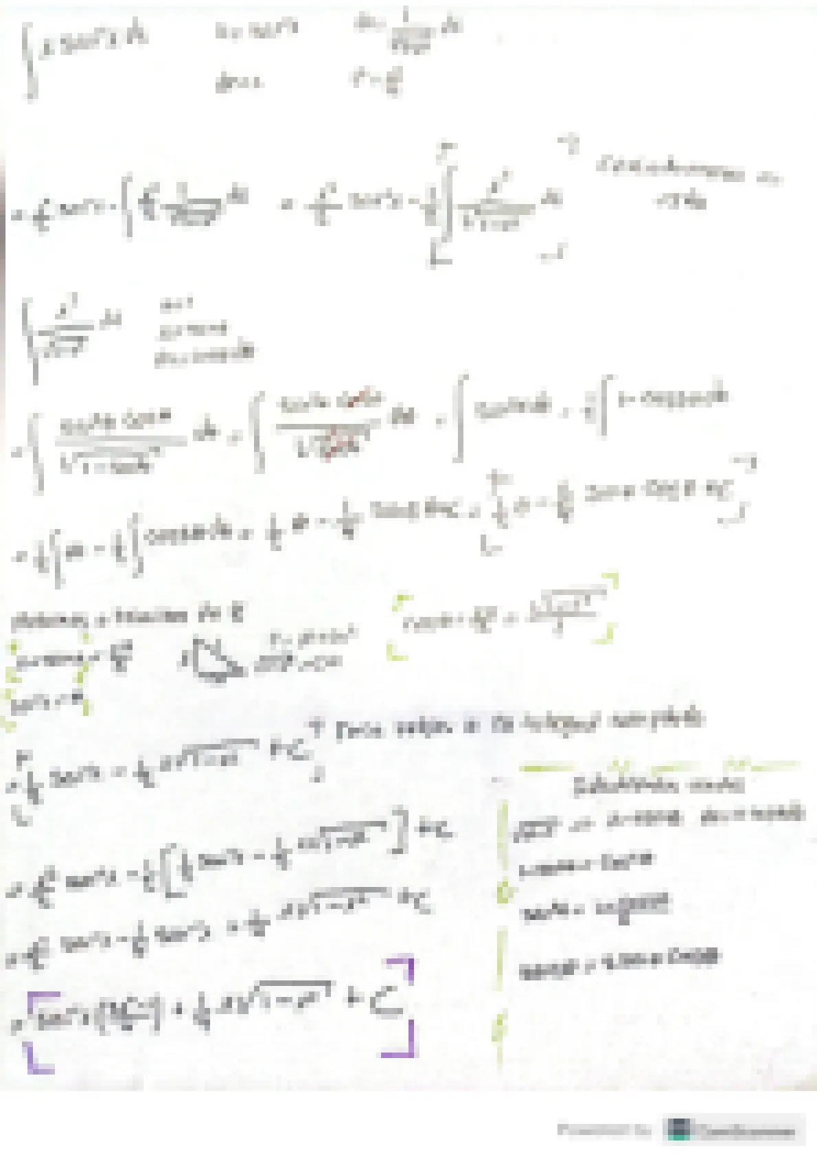
MATE1214 - Cálculo Integral Con Ecuaciones Diferenciales
Solución quiz 1.pdf
Reportar
Quiz 1
2 páginas
PDF
Solución quiz 1.pdf
Prof:
Oscar Oswaldo Zapata Restrepo
VISTA PREVIA
1
VISTA PREVIA
2
¿Te fue útil este archivo?
0
Útil
No útil
Comentarios
Inicia sesión para ver los comentarios de este archivo.
Iniciar sesión
Ver todos los archivos de esta materia
Accede al archivo completo