Los Estudiantes
Universidad de los Andes
Busca un profesor, materia o programa en Universidad de los Andes...
Log in
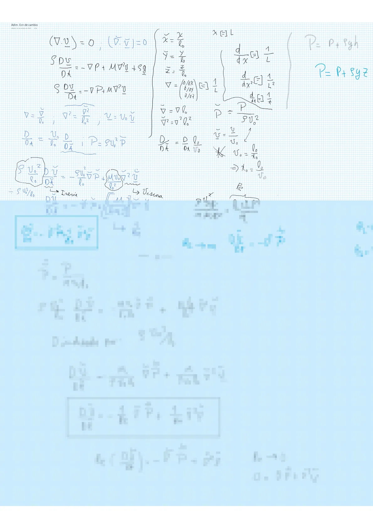
IQUI2102C - Fenomenos de Transporte 2
Adimensionalización ecuación de Navier Stokes.pdf
Reportar
Taller 2
2 páginas
PDF
Adimensionalización ecuación de Navier Stokes.pdf
VISTA PREVIA
1
VISTA PREVIA
2
¿Te fue útil este archivo?
0
Útil
No útil
Comentarios
Inicia sesión para ver los comentarios de este archivo.
Iniciar sesión
Ver todos los archivos de esta materia
Accede al archivo completo