Los Estudiantes
Universidad de los Andes
Busca un profesor, materia o programa en Universidad de los Andes...
Log in
IELE1006 - Fundamentos de Circuitos
Solucion Parcial3 - supletorio.pdf
Reportar
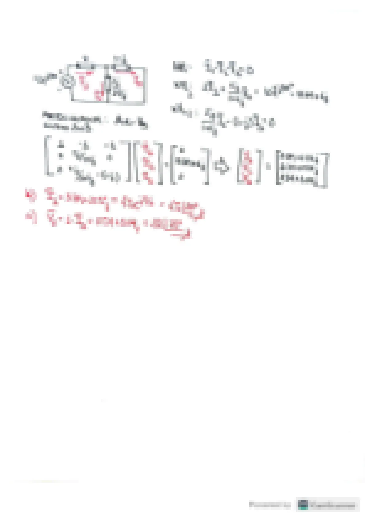
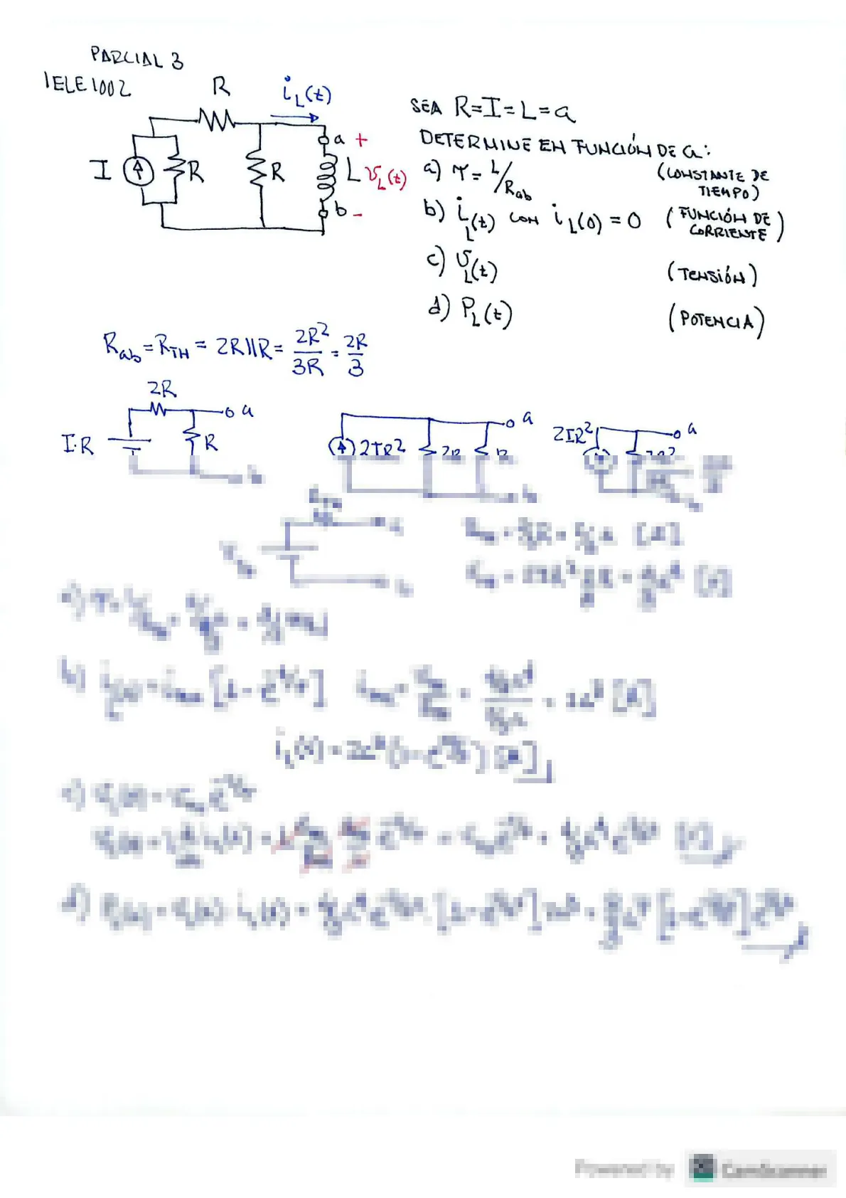
Parcial 3
2 páginas
PDF
Solucion Parcial3 - supletorio.pdf
Prof:
Paulo De Oliveira De Jesus
VISTA PREVIA
1
VISTA PREVIA
2
¿Te fue útil este archivo?
0
Útil
No útil
Comentarios
Inicia sesión para ver los comentarios de este archivo.
Iniciar sesión
Ver todos los archivos de esta materia
Accede al archivo completo