Los Estudiantes
Universidad de los Andes
Busca un profesor, materia o programa en Universidad de los Andes...
Log in
IBIO2250 - Fenómenos de Transporte Biológico
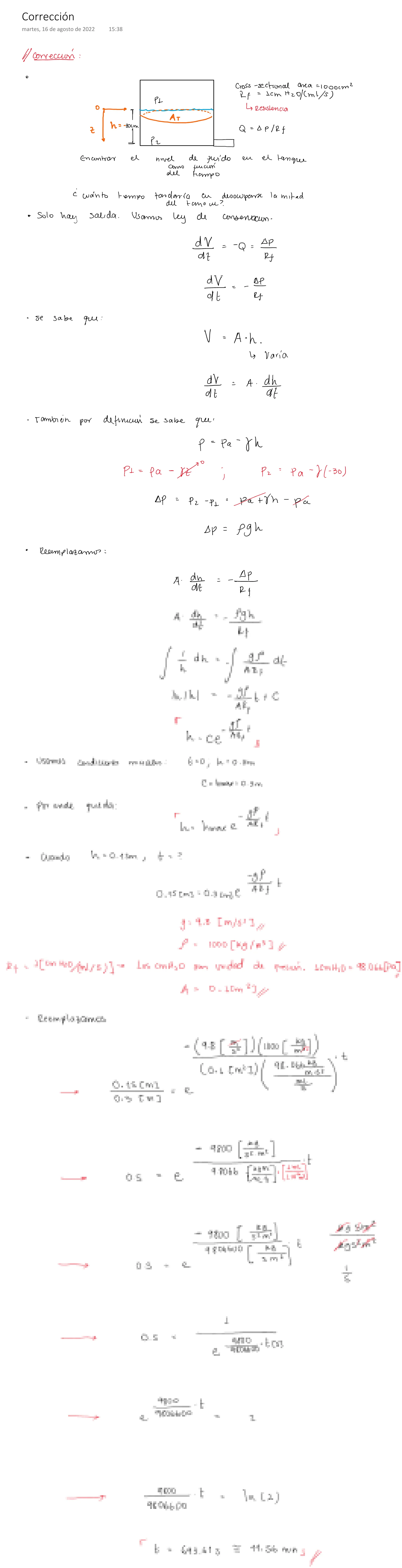
Solución Bono 1.pdf
Reportar
Otro
1 página
PDF
Solución Bono 1.pdf
VISTA PREVIA
1
¿Te fue útil este archivo?
0
Útil
No útil
Comentarios
Inicia sesión para ver los comentarios de este archivo.
Iniciar sesión
Ver todos los archivos de esta materia
Accede al archivo completo