Los Estudiantes
Universidad de los Andes
Busca un profesor, materia o programa en Universidad de los Andes...
Log in
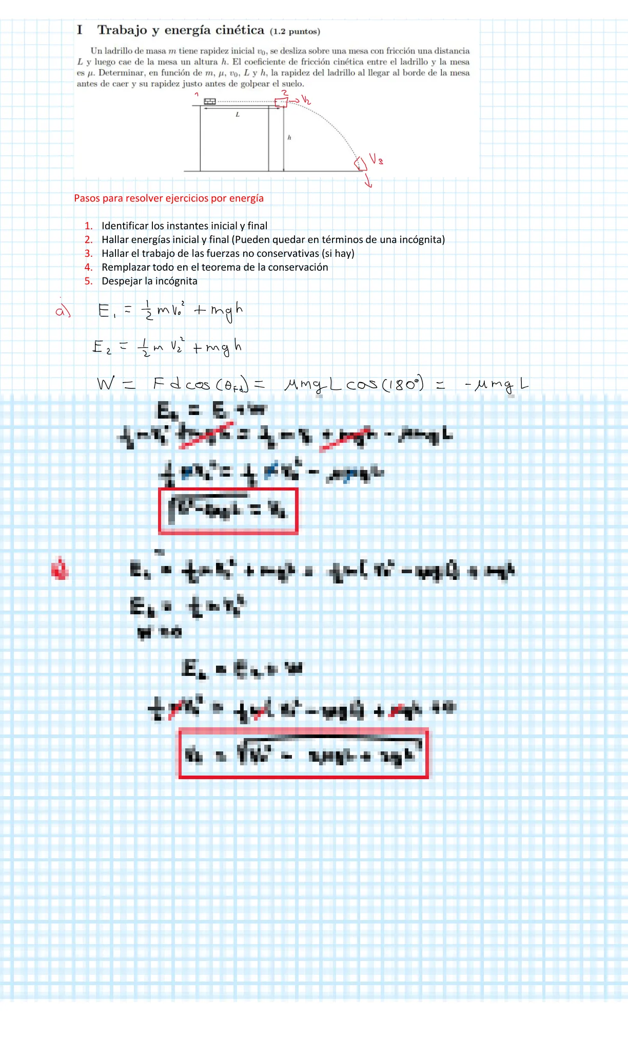
FISI3434 - Electromagnetismo 2
Sesion Ejercicios.pdf
Reportar
Taller
5 páginas
PDF
Sesion Ejercicios.pdf
Prof:
Mayerlin Nuñez Portela
VISTA PREVIA
1
VISTA PREVIA
2
VISTA PREVIA
3
VISTA PREVIA
4
VISTA PREVIA
5
¿Te fue útil este archivo?
-2
Útil
No útil
Comentarios (1)
Inicia sesión para ver los comentarios de este archivo.
Iniciar sesión
Ver todos los archivos de esta materia
Accede al archivo completo