Los Estudiantes
Universidad de los Andes
Busca un profesor, materia o programa en Universidad de los Andes...
Log in
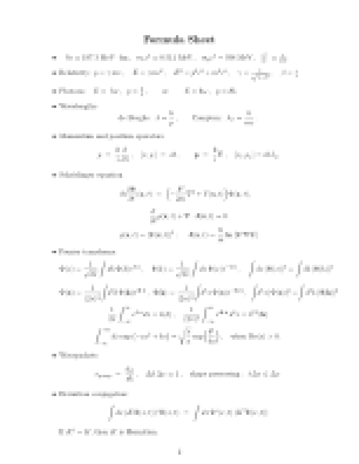
FISI3010 - Mecanica Cuantica I
MIT8_04S16_Test1_Fall2015.pdf
Reportar
Parcial 1
7 páginas
PDF
MIT8_04S16_Test1_Fall2015.pdf
VISTA PREVIA
1
VISTA PREVIA
2
VISTA PREVIA
3
VISTA PREVIA
4
VISTA PREVIA
5
VISTA PREVIA
6
VISTA PREVIA
7
¿Te fue útil este archivo?
0
Útil
No útil
Comentarios
Inicia sesión para ver los comentarios de este archivo.
Iniciar sesión
Ver todos los archivos de esta materia
Accede al archivo completo